Analisi non lineare di strutture in muratura
con Straus7 ed EasyOver
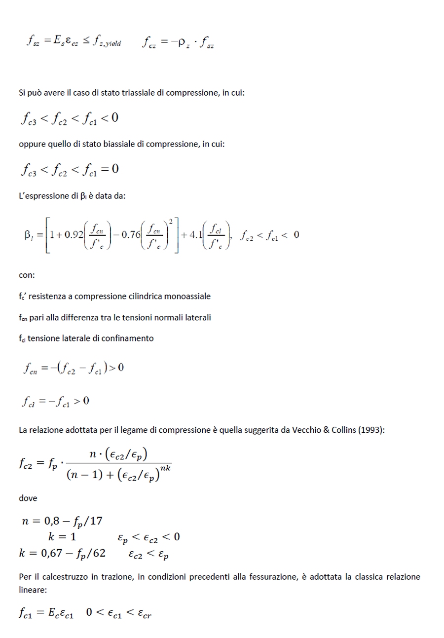
L'approccio del nuovo modello a fessure spalmate rotanti per le strutture in muratura di EasyOver
e' basato sulla meccanica del danno. Il modello riesce a cogliere le fessurazioni che nascono
e si sviluppano nel materiale sollecitato oltre la tensione massima e che hanno, come effetto primario, quello
di comportare una riduzione della rigidezza del materiale stesso, specialmente nelle sollecitazioni di trazione.
































Straus7 e' distribuito in Italia da HSH srl - Padova - Tel. 049 663888 - Fax 049 8758747

Per richiedere la scheda tecnica e il listino di Straus7 UN CLICK QUI